Початок

04 листопада 2011, 17:20
Власник сторінки
батяр
0

Історія нашого Всесвіту почалась з Великого вибуху - відомо практично всім. Але якими були параметри початкового стану, з якого виникло багате різноманіття галактик, зір та інших космічних об'єктів.


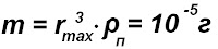
      Наш Всесвіт, з безмежною кількістю зірок, з неповторними Галактиками існує  13,7 млрд. років. З великою ймовірністю можна стверджувати, що виник він з Великого вибуху. Цікавими є параметри, з яких все почалося. Отож «наш Всесвіт» роздувся з початкового крихітного стану, розміром
 Густина матерії при цьому складала
А сумарна маса початкового обєму:
      Із цієї надзвичайно маленької маси та мініатюрних розмірів розвинувся весь Всесвіт, з безмежною кількістю світів, котрі значно перевищують області, вивчені астрономами. Дані цифри важко сприймаються здоровим глуздом, але це так. Доказами служить червоне зміщення у спектрах віддалених Галактик та реліктове випромінювання, що приходить до нас з кожної точки неба. Закони фізики взмозі описати весь процес утворення Всесвіту, проте не можуть дати відповіді на головне питання: чому це відбулося та що було причиною Великого вибуху? Адже уявити собі, що вся матерія Всесвіту розміщувалася в обємі одного протона надзвичайно важко.
     Одні вчені стверджують, що все почалося з флуктуації у вакуумі. Можливо вони мають рацію. А може розширення Всесвіту почалося із зіткнення частинки-античастинки у надприскорювачі в лабораторії деякої планети деякого світу? А можливо Великий вибух створив Бог, і в захопленні від виконаної роботи, пішов створювати інші Всесвіти? Так чи інакше, ми не можемо дати ствердну відповідь про Початок, а можемо лише оперувати здогадками, або розвинути науку до такого рівня, коли вона в змозі дати відповіді на всі запитання.








Світлина зроблена за допомогою телескопа Хаббла. Кожна світна точка-не зірка, а галактика. Найбільш червоні точки є найстаршими галактиками, відстань до яких складає 13 млрд світлових років.

На світлині сфотографовано найстарішу галактику. Реально вона вже не існує, але світло від неї буде йти до нас ще багато століть.
Рубрика "Блоги читачів" є майданчиком вільної журналістики та не модерується редакцією. Користувачі самостійно завантажують свої матеріали на сайт. Редакція не поділяє позицію блогерів та не відповідає за достовірність викладених ними фактів.
РОЗДІЛ: Пользователи
Якщо ви помітили помилку, виділіть необхідний текст і натисніть Ctrl + Enter, щоб повідомити про це редакцію.