Народні гроші як не працювали на користь людей, так і не працюють досі.
Сьогодні, 12
жовтня, виповнюється дев’ять місяців з дня, як Київська обласна рада схвалила
бюджет Київської області на 2016р. (рішення Київської обласної ради від 12.01.2016 №
050–02–VІI «Про обласний бюджет Київської області на 2016 рік» в новій редакції»), головний фінансовий кошторис столичного
регіону. 2016 рік спливає, незабаром Київською обласною адміністрацією розпочнеться
підготовка до роботи з розробки бюджету
на наступний 2017 рік. Тож, на мою думку, якщо ми в країні декларуємо принципово
нові підходи в управлінні, які мають привести нас до результатів діяльності
європейського рівня, варто проаналізувати наш шлях та методи ще до настання
звітного періоду.
Вивчаючи лист
від департаменту фінансів, що надійшов до КОДА 05.10.2016р. з інформацією про
виконання місцевих бюджетів області за січень-вересень 2016 року за доходами
загального фонду я дійшла висновку – ніякої
прозорості в діяльності обласних чиновників поточний рік не додав. Якщо я,
фінансист за фахом та Голова постійної комісії з питань бюджету та фінансів
Київської обласної ради - людина, що повинна першою звітувати в частині
доцільного використання фінансів області перед виборцями Київщини – бачу лише
сухі цифри, то що може в них зрозуміти пересічний мешканець?
Нижче я наведу
зведені дані по області. Дивує в них використання терміну «Аналіз», адже
будь-яка аналітика - це вивчення предмету, розбираючи його на складові. Те, що
ми бачимо – підсумок певних даних без жодного аналізу з боку департаменту фінансів.
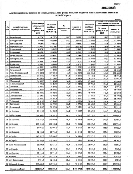
Як приклад, в цьому році є значне перевиконання бюджетів більшості адм.тер.
одиниць в частині земельного податку та
орендної плати до місцевих бюджетів Київської області (див. фото
нижче) – за рахунок чиєї діяльності або
впливу яких факторів це стало можливим?
Так, обласний бюджет
перевиконаний по багатьох показниках, але без повноцінної аналітичної роботи
чиновників департаменту фінансів КОДА в частині виявлення та усунення недоліків
розрахунків та підходів поточного та минулого років особисто я насилу уявляю,
як формуватиметься бюджет Київської області на наступний рік. Яскравим
прикладом того, що, якби обласна адміністрація по-новому підійшла б до
керівничої діяльності, регіон вже мав би неабиякі зиски, є питання раціонального
розміщення вільних залишків коштів бюджету В ДЕРЖАВНИХ БАНКАХ. Нагадаю, відповідно
до ст.22 Бюджетного Кодексу України,
розпорядником коштів є Київська ОДА. Вона ж готує звіти, здійснює аналіз
показників виконання бюджетних програм, розпоряджаються розміщенням коштів тощо.

Тему вільних залишків, їх розміщення в державних банках та отримання з
цього зиску для обласного розвитку . Інші
регіони України користуються роками засобом «робити гроші з повітря» на цілком
законних підставах – вільні залишки бюджету зберігаються в державних банках й допоки вони чекатимуть свої долі, завдяки
відсотковій ставці набігає чимала сума.
Як Голова постійної комісії з
питань бюджету та фінансів наведу цифри: залишок на рахунку загального фонду
обласного бюджету на сьогодні становить 480093, 46 тис.грн., на рахунках по
спец фонду - 79199, 28 тис.грн.
559 млн.грн. коштів, за умови
зберігання в державному банку та при 19% (візьмемо середній відсоток по
держ.банках) річних на рівному місці додали
б до бюджету Київської області 26-28.000.000 грн. Половина дитячого садочку,
півшколи для віддалених населених пунктів – це ті заклади соціального
забезпечення, яких так потребують наші мешканці, вже мали б для себе
найважливіше – фінансову забезпеченість.
Чому обласна адміністрація
свідомо позбавляє регіон додаткових коштів - величезне питання, відповідь на
яке я шукаю по кабінетах обладміністрації майже рік.
Підсумовуючи:
Маю надію, що Київська ОДА все ж
дослухатиметься до депутатського корпусу Київоблради, до фахівців своєї
справи, бо якщо терміново не розпочати
повноцінну співпрацю між бюрократичною системою та народними обранцями
мешканців регіону, ставиться під величезне питання взагалі необхідність існування такої
системи управління, при якій депутати облради жодним чином своєю діяльністю не
в змозі подолати застарілу систему управління, де головними пріоритетами досі
виступають сухі цифри та статистика, а не нагальні потреби мешканців та
регіонів з реального життя.





Рубрика "Блоги читачів" є майданчиком вільної журналістики та не модерується редакцією. Користувачі самостійно завантажують свої матеріали на сайт. Редакція не поділяє позицію блогерів та не відповідає за достовірність викладених ними фактів.